题目内容
| 某公司要将一批不易存放的蔬菜从A地运到B 地,有汽车、火车两种运输工具可供选择,两种运输工具的主要参考数据如下表: | |||||||||||||||
(Ⅰ)设采用汽车与火车运输的总费用分别为f(x)与g(x),求f(x)与g(x); (Ⅱ)试根据A、B两地距离大小比较采用哪种运输工具比较好(即运输总费用最小)。 (注:总费用=途中费用+装卸费用+损耗费用) |
解:(1)由题意可知,用汽车运输的总支出为
,
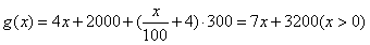
用火车运输的总支出为
。
(2)令
,得
;
令
,得
;
令
,得
,
所以,当A、B两地距离小于
时,采用汽车运输好;
当A、B两地距离等于
时,采用汽车或火车都一样;
当A、B两地距离大于
时,采用火车运输好。
用火车运输的总支出为
(2)令
令
令
所以,当A、B两地距离小于
当A、B两地距离等于
当A、B两地距离大于
练习册系列答案
相关题目
某公司要将一批不易存放的蔬菜从A地运到B 地,有汽车、火车两种运输工具可供选择,两种运输工具的主要参考数据如下表:
运输工具 | 途中速度
| 途中费用
| 装卸时间
| 装卸费用
|
汽车 | 50 | 8 | 2 | 1000 |
火车 | 100 | 4 | 4 | 2000 |
若这批蔬菜在运输过程(含装卸时间)中损耗为300元/h,设A、B 两地距离为
km
(I)设采用汽车与火车运输的总费用分别为
与
,求
与
;
(II)试根据A、B两地距离大小比较采用哪种运输工具比较好(即运输总费用最小).
(注:总费用=途中费用+装卸费用+损耗费用)
某公司要将一批不易存放的蔬菜从
地运到
地,有汽车、火车两种运输工具可供选择,两种运输工具的主要参考数据如下表:
|
运输工具 |
途中速度 (千米/小时) |
途中单位费用(元/千米) |
装卸时间 (小时) |
装卸费用(元) |
|
汽车 |
50 |
8 |
2 |
1000 |
|
火车 |
100 |
4 |
4 |
2000 |
若这批蔬菜在运输过程中(含装卸时间)损耗为300元/小时,设
、
两地距离为
千米.
(1)设采用汽车与火车运输的总费用分别为
与
,求
与
的解析式;
(2)试根据
、
两地距离的大小比较采用哪种运输工具更合算(即运输总费用最小).
(注:总费用=途中费用+装卸费用+损耗费用)
某公司要将一批不易存放的蔬菜从
地运到
地,有汽车、火车两种运输工具可供选择,两种运输工具的主要参考数据如下表:
|
运输工具 |
途中速度 (千米/小时) |
途中单位费用(元/千米) |
装卸时间 (小时) |
装卸费用(元) |
|
汽车 |
50 |
8 |
2 |
1000 |
|
火车 |
100 |
4 |
4 |
2000 |
若这批蔬菜在运输过程中(含装卸时间)损耗为300元/小时,设
、
两地距离为
千米.
(1)设采用汽车与火车运输的总费用分别为
与
,求
与
的解析式;
(2)试根据
、
两地距离的大小比较采用哪种运输工具更合算(即运输总费用最小).(注:总费用=途中费用+装卸费用+损耗费用)