题目内容
已知函数f(x)=ln(1+x)-x+
x2(k≥0)。
(1)当k=2时,求曲线y=f(x)在点(1,f(1))处的切线方程;
(2)求f(x)的单调区间。
(1)当k=2时,求曲线y=f(x)在点(1,f(1))处的切线方程;
(2)求f(x)的单调区间。
解:(1)当k=2时,f(x)=ln(1+x)-x+x2,f'(x)=
由于f(1)=ln2,
所以曲线y=f(x)在点(1,f(1))处的切线方程为

即3x-2y+21n2-3=0;
(2)
,
当k=0时,
所以,在区间(-1,0)上,f'(x)>0;
在区间(0,+∞)上,f'(x)<0
故f(x)的单调递增区间是(-1,0),单调递减区间是(0,+∞)
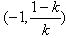
当0<k<1时,由
得
所以,在区间(-1,0)和
上,f'(x)>0;
在区间
上,f'(x)<0
故f(x)的单调递增区间是(-1,0)和
,单调递减区间是
当k=1时,
故f(x)的单调递增区间是(-1,+∞)
当k>1时,由
得
所以,在区间
和(0,+∞)上,f'(x)>0
在区间
上,f'(x)<0
故f(x)的单调递增区间是
和(0,+∞)
单调递减区间是
。
由于f(1)=ln2,
所以曲线y=f(x)在点(1,f(1))处的切线方程为
即3x-2y+21n2-3=0;
(2)
当k=0时,
所以,在区间(-1,0)上,f'(x)>0;
在区间(0,+∞)上,f'(x)<0
故f(x)的单调递增区间是(-1,0),单调递减区间是(0,+∞)
当0<k<1时,由
得
所以,在区间(-1,0)和
在区间
故f(x)的单调递增区间是(-1,0)和
当k=1时,
故f(x)的单调递增区间是(-1,+∞)
当k>1时,由
得
所以,在区间
在区间
故f(x)的单调递增区间是
单调递减区间是
练习册系列答案
相关题目