题目内容
已知椭圆C的中心在原点O,离心率(1)求椭圆C的方程;
(2)设椭圆的上顶点为A,在椭圆C上是否存在点P,使得向量
【答案】分析:(1)设椭圆C的方程为
,由离心率焦点坐标可得及
,再根据a2=b2+c2,联立方程组解出即可;
(2)假设椭圆C上是存在点P(x,y),使得向量
与
共线,由向量共线及点P在椭圆上得方程组,解出可得点P坐标,进而可求得直线AP方程;
解答:解:(1)设椭圆C的方程为
,
∵椭圆C的离心率
,右焦点为
,∴
,
∵a2=b2+c2,∴
,
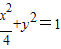
故椭圆C的方程为
.
(2)假设椭圆C上是存在点P(x,y),使得向量
与
共线,
∵
,
,∴
,即
,(1)
又∵点P(x,y)在椭圆
上,∴
(2),
由(1)、(2)组成方程组解得
,或
,
∴P(0,-1),或
,
当点P的坐标为(0,-1)时,直线AP的方程为x=0,
当点P的坐标为
时,直线AP的方程为
,
故椭圆上存在满足条件的点P,直线AP的方程为x=0或
.
点评:本题考查直线与圆锥曲线的位置关系、椭圆方程的求解及向量共线问题,考查学生分析问题解决问题的能力.
(2)假设椭圆C上是存在点P(x,y),使得向量
解答:解:(1)设椭圆C的方程为
∵椭圆C的离心率
∵a2=b2+c2,∴
故椭圆C的方程为
(2)假设椭圆C上是存在点P(x,y),使得向量
∵
又∵点P(x,y)在椭圆
由(1)、(2)组成方程组解得
∴P(0,-1),或
当点P的坐标为(0,-1)时,直线AP的方程为x=0,
当点P的坐标为
故椭圆上存在满足条件的点P,直线AP的方程为x=0或
点评:本题考查直线与圆锥曲线的位置关系、椭圆方程的求解及向量共线问题,考查学生分析问题解决问题的能力.
练习册系列答案
相关题目