题目内容
已知数列{an}满足a1=1,且an=2an-1+2n(n≥2且n∈N*).(Ⅰ)求数列{an}的通项公式;
(Ⅱ)设数列{an}的前n项之和Sn,求Sn,并证明:
【答案】分析:(Ⅰ)由
(n≥2,且n∈N*),得数列{
}是等差数列,公差d=1,首项
,由此能求出数列{an}的通项公式.
(Ⅱ)由
(n-
)•2n,利用错位相减法能够得到
,由此能够证明
>2n-3.
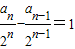
解答:解:(Ⅰ)∵
(n≥2,且n∈N*),
∴
,即
(n≥2,且n∈N*),…(3分)
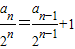
所以,数列{
}是等差数列,公差d=1,首项
,…(5分)
于是
=
=
=n-
,
∴
.…(7分)
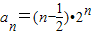
(Ⅱ)∵
(n-
)•2n,①
∴2Sn=
+…+
,②…(9分)
①-②,得-
=2+22+23+…+
=
=(3-2n)•2n-3,…(12分)
∴
>(2n-3)•2n,
∴
>2n-3.…(14分)
点评:本题主要考查等差数列通项、求和公式、数列前n项和与通项的关系等基础知识,同时考查运算求解能力及抽象概括能力.
(Ⅱ)由
解答:解:(Ⅰ)∵
∴
所以,数列{
于是
∴
(Ⅱ)∵
∴2Sn=
①-②,得-
=2+22+23+…+
=
=(3-2n)•2n-3,…(12分)
∴
∴
点评:本题主要考查等差数列通项、求和公式、数列前n项和与通项的关系等基础知识,同时考查运算求解能力及抽象概括能力.
练习册系列答案
相关题目