题目内容
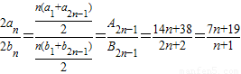
已知两个等差数列an、bn的前n项和分别为An和Bn,若
【答案】分析:先将通项之比转化为前n项和之比,进而再用验证法得解.
解答:解:
=
=7+
验证知,当n=1,2,3,5,11时
为整数.
故答案为:5
点评:本题主要考查等差数列的通项公式和前n项和公式及性质的应用.
解答:解:
验证知,当n=1,2,3,5,11时
故答案为:5
点评:本题主要考查等差数列的通项公式和前n项和公式及性质的应用.
练习册系列答案
相关题目