题目内容
已知函数f(x)=ln(x+1)-ax+
(a≥
),
(1)当曲线y=f(x)在点(1,f(1))处的切线与直线l:y=-2x+1平行时,求a的值;
(2)求函数f(x)的单调区间。
(1)当曲线y=f(x)在点(1,f(1))处的切线与直线l:y=-2x+1平行时,求a的值;
(2)求函数f(x)的单调区间。
解:
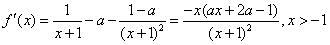
,
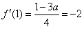
(1)由题意可得
,解得a=3,
因为f(1)=ln2-4,此时在点(1,f(1))处的切线方程为y-(ln2-4)=-2(x-1),即y=-2x+ln2-2,
与直线l:y=-2x+1平行,故所求a的值为3.
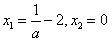
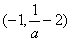
(2)令f′(x)=0,得到
,
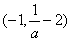
由
可知
,即x1≤0,
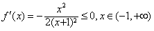
①当
时,
,
所以,
,
故f(x)的单调递减区间为(-1,+∞).
②当
时,
,即-1<x1<0=x2,
所以,在区间
和(0,+∞)上,f′(x)<0;
在区间
上,f′(x)>0,
故f(x)的单调递减区间是
和(0,+∞),单调递增区间是
;
③当a≥1时,
,
所以,在区间(-1,0)上,f′(x)>0;在区间(0,+∞)上,f′(x)<0,
故f(x)的单调递增区间是(-1,0),单调递减区间是(0,+∞);
综上讨论可得:当
时,函数f(x)的单调递减区间是(-1,+∞);
当
时,函数f(x)的单调递减区间是
和(0,+∞),单调递增区间是
;
当a≥1时,函数f(x)的单调递增区间是(-1,0),单调递减区间是(0,+∞).
(1)由题意可得
因为f(1)=ln2-4,此时在点(1,f(1))处的切线方程为y-(ln2-4)=-2(x-1),即y=-2x+ln2-2,
与直线l:y=-2x+1平行,故所求a的值为3.
(2)令f′(x)=0,得到
由
①当
所以,
故f(x)的单调递减区间为(-1,+∞).
②当
所以,在区间
在区间
故f(x)的单调递减区间是
③当a≥1时,
所以,在区间(-1,0)上,f′(x)>0;在区间(0,+∞)上,f′(x)<0,
故f(x)的单调递增区间是(-1,0),单调递减区间是(0,+∞);
综上讨论可得:当
当
当a≥1时,函数f(x)的单调递增区间是(-1,0),单调递减区间是(0,+∞).
练习册系列答案
相关题目