题目内容

已知函数是奇函数.

(1)求m的值:

(2)设.若函数的图象至少有一个公共点.求实数a的取值范围.

 

【答案】

(1).  (2).

【解析】

试题分析:((1)由函数是奇函数可知:, 即得.

(2)根据函数的图象至少有一个公共点,转化得到方程至少有一个实根.即方程至少有一个实根 ,令,则方程至少有一个正根.

接下来可有两种思路,一是通过分离参数,应用基本不等式;二是利用二次函数知识.

试题解析:(1)由函数是奇函数可知:,           2分

解得.                                             4分

(2)函数的图象至少有一个公共点

即方程至少有一个实根                           6分

即方程至少有一个实根                         8分

,则方程至少有一个正根

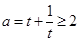
方法一:由于

∴a的取值范围为.                         12分

方法二:令,由于,所以只须

解得.

∴a的取值范围为.

考点:函数的奇偶性,指数函数的性质,二次函数的性质,基本不等式.

 

练习册系列答案
相关题目

违法和不良信息举报电话:027-86699610 举报邮箱:58377363@163.com

精英家教网