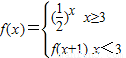
题目内容
给出函数
【答案】分析:先判断出1<
<2,再由代入对应的关系式,并让自变量连续加1三次,直到log34+3>4代入第一个解析式,根据“
”和指数幂的运算法则进行求值.
解答:解:∵1<
<2,
∴f(log34)=f(log34+1)=f(log34+2)=f(log34+3),
∵log34+3>4,
∴f(log34)=f(log34+3)=
=
×
=
=
,
故答案为:
.
点评:本题考查了分段函数求值,需要确定自变量的范围,再代入对应的解析式进行求解.
解答:解:∵1<
∴f(log34)=f(log34+1)=f(log34+2)=f(log34+3),
∵log34+3>4,
∴f(log34)=f(log34+3)=
故答案为:
点评:本题考查了分段函数求值,需要确定自变量的范围,再代入对应的解析式进行求解.
练习册系列答案
相关题目