题目内容
已知数列{an}的前n项和为Sn,
(1)证明:数列
是等差数列,并求Sn;
(2)设
,求证:b1+b2+…+bn<1.
(1)证明:数列
(2)设
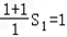
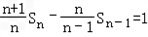
证明:(1)由
知,
当n≥2时:
,
即
,
∴
,对n≥2成立.
又
∴{
}是首项为1,公差为1的等差数列.
∴
∴
(2)
∴
=
当n≥2时:
即
∴
又
∴{
∴
∴
(2)
∴
练习册系列答案
相关题目
已知数列{an}的前n项和Sn=an2+bn(a、b∈R),且S25=100,则a12+a14等于( )
| A、16 | B、8 | C、4 | D、不确定 |