题目内容
已知二次函数f(x)开口向上,且对?x∈R都有f(1-x)=f(1+x)成立,设向量
【答案】分析:利用已知条件求出函数的对称轴,求出两个数量积,转化不等式为代数不等式,求出不等式的解集.
解答:解:因为f(1-x)=f(1+x),所以由x的任意性得f(x)的图象关于直线x=1对称,…(2分)
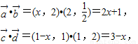
∵
…(6分)
f(
•
)>f(
•
)?f(2x+1)>f(3-x)?|2x|>|2-x|(10分)
解得,
(14分)
综上:f(
•
)>f(
•
)的解集为
.
点评:本题考查不等式的解集的求法,转化思想的应用,向量数量积的应用,考查计算能力.
解答:解:因为f(1-x)=f(1+x),所以由x的任意性得f(x)的图象关于直线x=1对称,…(2分)
∵
f(
解得,
综上:f(
点评:本题考查不等式的解集的求法,转化思想的应用,向量数量积的应用,考查计算能力.
练习册系列答案
相关题目