题目内容
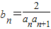
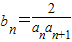
在数列
【答案】分析:先利用等差数列的求和公式求出
,代入
,然后利用裂项求和即可求解
解答:解:∵
=
=
∴
=
=
=
∴Sn=
=8(1-
)=
故答案为:
点评:本题主要考查了等差数列的求和公式及裂项求和方法的简单应用,属于基础试题
解答:解:∵
∴
∴Sn=
=8(1-
故答案为:
点评:本题主要考查了等差数列的求和公式及裂项求和方法的简单应用,属于基础试题
练习册系列答案
相关题目
题目内容
在数列