题目内容
当x∈(0,+∞)时,幂函数y=(m2-m-1)x-m-1为减函数,则实数m= .
【答案】分析:因为给出的函数是幂函数,所以系数等于1,又函数在x∈(0,+∞)时为减函数,所以幂指数小于0,联立后可求解m的值.
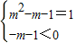
解答:解:由当x∈(0,+∞)时,幂函数y=(m2-m-1)x-m-1为减函数,得:
,解得:m=2.
故答案为2.
点评:本题考查了幂函数的性质,考查了幂函数的定义,解答此题的关键是对幂函数的定义和性质的掌握,此题是基础题.
解答:解:由当x∈(0,+∞)时,幂函数y=(m2-m-1)x-m-1为减函数,得:
故答案为2.
点评:本题考查了幂函数的性质,考查了幂函数的定义,解答此题的关键是对幂函数的定义和性质的掌握,此题是基础题.
练习册系列答案
相关题目
函数f(x)是R上以2为周期的奇函数,已知当x∈(0,1)时,f(x)=log2
,则f(x)在区间(1,2)上是( )
| 1 |
| 1-x |
| A、减函数,且f(x)<0 |
| B、增函数,且f(x)<0 |
| C、减函数,且f(x)>0 |
| D、增函数,且f(x)>0 |