题目内容
等差数列{an}的前n项和为Sn,若a3+a17=10,则S19=( )A.190
B.95
C.170
D.85
【答案】分析:由等差数列的性质可知
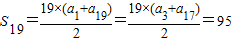
.
解答:解:∵a3+a17=10,∴a1+a19=10,
∴
.
故选B.
点评:本题考查等差数列的性质和应用,解题时要认真审题,仔细解答.
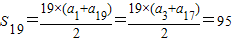
解答:解:∵a3+a17=10,∴a1+a19=10,
∴
故选B.
点评:本题考查等差数列的性质和应用,解题时要认真审题,仔细解答.
练习册系列答案
相关题目
设等差数列{an}的前n项和为Sn,则a5+a6>0是S8≥S2的( )
| A、充分而不必要条件 | B、必要而不充分条件 | C、充分必要条件 | D、既不充分也不必要条件 |