题目内容
对于各数互不相等的整数数组(i1,i2,i3…in) (n是不小于3的正整数),对于任意的p,q∈{1,2,3,…,n},当p<q时有ip>iq,则称ip,iq是该数组的一个“逆序”,一个数组中所有“逆序”的个数称为该数组的“逆序数”,则数组(2,4,3,1)中的逆序数等于 ;若数组(i1,i2,i3,…,in)中的逆序数为n,则数组(in,in-1,…,i1)中的逆序数为 .
【答案】分析:由于数组中包含的数字比较少,数组(2,4,3,1)中的逆序可以列举出共有4个,对应于含有n个数字的数组中,首先做出任取两个数字时可以组成的数对,减去逆序的个数,得到结果.
解答:解:由题意知数组(2,4,3,1)中的逆序有
2,1;4,1;3,1;4,3,
∴逆序数是4,
∵若数组(i1,i2,i3,…,in)中的逆序数为n,
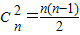
∵这个数组中可以组成
个数对,
∴数组(in,in-1,…,i1)中的逆序数为
=
,
故答案为:4;
.
点评:本题是一个重新定义问题,解题时需要读懂题意,才能做题,本题考查排列组合数的应用,考查列举法,是一个非常新颖的问题.
解答:解:由题意知数组(2,4,3,1)中的逆序有
2,1;4,1;3,1;4,3,
∴逆序数是4,
∵若数组(i1,i2,i3,…,in)中的逆序数为n,
∵这个数组中可以组成
∴数组(in,in-1,…,i1)中的逆序数为
故答案为:4;
点评:本题是一个重新定义问题,解题时需要读懂题意,才能做题,本题考查排列组合数的应用,考查列举法,是一个非常新颖的问题.
练习册系列答案
相关题目