题目内容
在椭圆A.
B.-
C.
D.-
【答案】分析:设A(x1,y1),B(x2,y2),由题意可得
,两式相减,结合中点坐标公式可求直线的斜率.
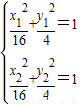
解答:解:设直线与椭圆交于点A,B,设A(x1,y1),B(x2,y2),
由题意得
,
两式相减,得
+
=0
由中点坐标公式,得
(x1+x2)=2,
(y1+y2)=1,
KAB=
=-
=-
.
故选C.
点评:本题主要考查了直线与椭圆相交关系的应用,要掌握这种设而不求的方法在求解直线方程中的应用.
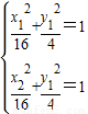
解答:解:设直线与椭圆交于点A,B,设A(x1,y1),B(x2,y2),
由题意得
两式相减,得
由中点坐标公式,得
KAB=
故选C.
点评:本题主要考查了直线与椭圆相交关系的应用,要掌握这种设而不求的方法在求解直线方程中的应用.
练习册系列答案
相关题目