题目内容
如图,△PAC与△ABC是均以AC为斜边的等腰直角三角形,AC=4,E,F,O分别为PA,PB,AC的中点,G为OC的中点,且PO⊥平面ABC.(1)证明:FE∥平面BOG;
(2)求二面角EO-B-FG的余弦值.
【答案】分析:(1)通过建立空间直角坐标系,利用平面BOE的法向量
=0即可证明;
(2)利用两个平面的法向量的夹角公式即可得出.
解答:(1)证明:以O点为坐标原点,
,
,
的方向为x轴,y轴,z轴的正方向建立空间直角坐标系数,
则O(0,0,0),B(2,0,0),C(0,2,0),A(0,-2,0),P(0,0,2),G(0,1,0),E(0,-1,1),F(1,0,1).
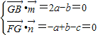
∴
,
,
.
设平面OBE的法向量为
,
则
,令y=1,解得
,
∴
,∴
,
∵G∉平面BOE,∴FG∥平面BOE;
(2)由 (1)的证法二可知.平面OBE的法向量为
.
设平面BGF的法向量为
,又
,
则
,令c=1,则
,
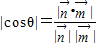
设二面角EO-B-FG的平面角为θ,则
=
=
由由图易知二面角EO-B-FG的平面角为锐角,
∴二面角EO-B-FG的余弦值为
.
点评:熟练掌握通过建立空间直角坐标系,利用平面BOE的法向量
=0、两个平面的法向量的夹角公式求二面角的平面角等是解题的关键.
(2)利用两个平面的法向量的夹角公式即可得出.
解答:(1)证明:以O点为坐标原点,
∴
设平面OBE的法向量为
则
∴
∵G∉平面BOE,∴FG∥平面BOE;
(2)由 (1)的证法二可知.平面OBE的法向量为
设平面BGF的法向量为
则
设二面角EO-B-FG的平面角为θ,则
由由图易知二面角EO-B-FG的平面角为锐角,
∴二面角EO-B-FG的余弦值为
点评:熟练掌握通过建立空间直角坐标系,利用平面BOE的法向量
练习册系列答案
相关题目