题目内容
已知
中,
,
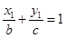
,点
是线段
(含端点)上的一点,且
,则
的取值范围是 .
【答案】
![]()
【解析】
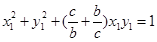
试题分析:如图建立直角坐标系,则
,
,设
,则
,
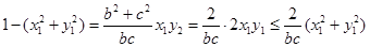
由
得
,![]()
,
由
得
,
由
,
两式相乘得
,
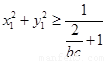
![]()
,
![]()
,![]()
,
![]()
![]()
![]()
考点:向量的数量积,向量的模,基本不等式.
练习册系列答案
相关题目