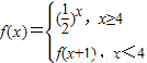
题目内容
已知函数
【答案】分析:已知分段函数的解析式,把1+log25代入相对应的函数值,再进行代入分段函数进行求解;
解答:解
,
∵1+log25<4,
f(1+log25)=f(2+log25)=
=
,
故答案为:
;
点评:分段函数分段处理,这是研究分段函数图象和性质最核心的理念,具体做法是:分段函数的定义域、值域是各段上x、y取值范围的并集,分段函数的奇偶性、单调性要在各段上分别论证;
解答:解
∵1+log25<4,
f(1+log25)=f(2+log25)=
故答案为:
点评:分段函数分段处理,这是研究分段函数图象和性质最核心的理念,具体做法是:分段函数的定义域、值域是各段上x、y取值范围的并集,分段函数的奇偶性、单调性要在各段上分别论证;
练习册系列答案
相关题目