题目内容
已知函数f(x)=
+ln(1-x)。
(1)当a=-1时,讨论f(x)的单调性;
(2)若x∈(-∞,0]时f(x)≥0恒成立,求a的取值范围。
(1)当a=-1时,讨论f(x)的单调性;
(2)若x∈(-∞,0]时f(x)≥0恒成立,求a的取值范围。
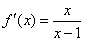
解:(1)当
时,
其定义域为
∴
∴函数f(x)在
,
为减函数
在
,
为增函数;
(2)(i)当
时,
,故
∵
,
,函数f(x)在
上增函数
故
,不符合题意
所以
;
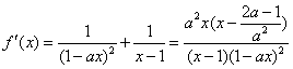
(ii)若
,此时
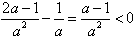
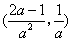
①当
时,
,
时,
故
在
为减函数
从而
恒成立;
②当
时,
函数f(x)在
上单调递减,在
上单调递增
则在
上存在x0,使
,故不符合题意。
③
时,∵
∴
函数f(x)在
上单调递减,在
,
上单调递增
则在
,
存在x0,使
,故不符合题意。
综上所述
。
其定义域为
∴
∴函数f(x)在
在
(2)(i)当
∵
故
所以
(ii)若
①当
故
从而
②当
函数f(x)在
则在
③
∴
函数f(x)在
则在
综上所述
练习册系列答案
相关题目
已知函数f(x)=x2-bx的图象在点A(1,f(1))处的切线l与直线3x-y+2=0平行,若数列{
}的前n项和为Sn,则S2010的值为( )
| 1 |
| f(n) |
A、
| ||
B、
| ||
C、
| ||
D、
|