题目内容
已知函数f(x)=Asin(ωx+φ),x∈R(其中(Ⅰ)求f(x)的解析式;
(Ⅱ)当
【答案】分析:(1)根据最低点M可求得A;由x轴上相邻的两个交点之间的距离可求得ω;进而把点M代入f(x)即可求得φ,把A,ω,φ代入f(x)即可得到函数的解析式.
(2)根据x的范围进而可确定当
的范围,根据正弦函数的单调性可求得函数的最大值和最小值.确定函数的值域.
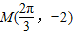
解答:解:(1)由最低点为
得A=2.
由x轴上相邻的两个交点之间的距离为
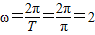
得
=
,
即T=π,
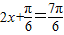
由点
在图象上的
故
∴
又
(2)∵
当
=
,即
时,f(x)取得最大值2;当
即
时,f(x)取得最小值-1,
故f(x)的值域为[-1,2]
点评:本题主要考查本题主要考查了由y=Asin(ωx+φ)的部分图象求解析式的问题及正弦函数的单调性问题.属基础题.
(2)根据x的范围进而可确定当
解答:解:(1)由最低点为
由x轴上相邻的两个交点之间的距离为
即T=π,
由点
故
又
(2)∵
当
即
故f(x)的值域为[-1,2]
点评:本题主要考查本题主要考查了由y=Asin(ωx+φ)的部分图象求解析式的问题及正弦函数的单调性问题.属基础题.
练习册系列答案
相关题目