题目内容
已知函数f(x)定义域为(0,+∞),且满足2f(x)+f((Ⅰ)求f(x)解析式及最小值;
(Ⅱ)设g(x)=
【答案】分析:(1)令
,构建关于f(x)与
的方程组,可求得结果.利用导数有关知识即能求得函数的最小值;
(2)利用导数研究函数h(x)在(0,+∞)上的最大值,就能证得结果.
解答:(1)解:令
,代入2f(x)+f(
)=(2x-
)lnx ①
得,
联立①②解得:f(x)=xlnx

当x∈
时,f′(x)0,函数递增.
∴当x=
时,函数取到极小值,也是函数的最小值
故最小值为
(2)证明:由(1)得
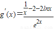
∴
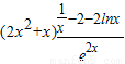
∴h(x)=(2x2+x)g′(x)=
=
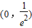
令p(x)=1-2x-2xlnx
=-4-2lnx
当x∈
时,p′(x)>0,函数递增;当x∈
时,p′(x)<0,函数递减.
故
时,函数取到极大值,也是函数的最大值.
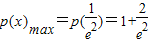
即
,且
同理可求得
故
点评:本题主要考查了函数解析式的求法、利用导数研究函数的最值;解题中要熟悉复杂函数的求导;对运算的要求比较高.
(2)利用导数研究函数h(x)在(0,+∞)上的最大值,就能证得结果.
解答:(1)解:令
得,
联立①②解得:f(x)=xlnx
当x∈
∴当x=
故最小值为
(2)证明:由(1)得
∴
∴h(x)=(2x2+x)g′(x)=
令p(x)=1-2x-2xlnx
当x∈
故
即
同理可求得
故
点评:本题主要考查了函数解析式的求法、利用导数研究函数的最值;解题中要熟悉复杂函数的求导;对运算的要求比较高.
练习册系列答案
相关题目