题目内容
设
,
,则
的取值范围为___________.
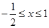
【答案】
![]()
【解析】
试题分析:由
,
,可得
,由反正弦函数的定义域可得
.
考点:反三角函数的运用
练习册系列答案
相关题目
题目内容
设
,
,则
的取值范围为___________.
![]()
【解析】
试题分析:由
,
,可得
,由反正弦函数的定义域可得
.
考点:反三角函数的运用