题目内容
已知等差数列{an}的首项a1=1,公差d>0,且其第二项、第五项、第十四项分别是{bn}等比数列的第二、三、四项;
(1)求数列{an}与{bn}的通项公式;
(2)设数列{cn}对任意自然数n均有
成立,求
的值。
(1)求数列{an}与{bn}的通项公式;
(2)设数列{cn}对任意自然数n均有
解:(1)由题意得(a1+d)(a1+13d)=(a1+4d)2(d>0),
解得d=2,∴an=2n-1,可得bn=3n-1;
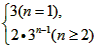
(2)当n=1时,c1=3;当n≥2时,由
=an+1-an,得cn=2·3n-1,故cn=
,
故c1+c2+c3+…+c2007=3+2×3+2×32+…+2×32006=32007
解得d=2,∴an=2n-1,可得bn=3n-1;
(2)当n=1时,c1=3;当n≥2时,由
故c1+c2+c3+…+c2007=3+2×3+2×32+…+2×32006=32007
练习册系列答案
相关题目