题目内容
已知椭圆(1)当点D到两焦点的距离之和为4,直线l⊥x轴时,求k1:k2的值;
(2)求k1:k2的值.
【答案】分析:(1)由题意椭圆的离心率
,2a=4,由此知椭圆方程为
,直线l:x=-1,A(-2,0),B(2,0),
故C(-1,
,D(-1,-
)或C(-1,-
),D(-1,
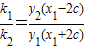
),由此能得到k1:k2=3.
(2)因为
,所以a=2c,b=
,椭圆方程为3x2+4y2=12c2,A(-2c,0),B(2c,0),直线l:x=my-c,设C(x1,y1),D(x2,y2),由
,消x得,(4+3m2)y2-6mxy-9c2=0,再由韦达定理进行求解.
解答:解:(1)由题意椭圆的离心率
,2a=4,所以a=2,c=1,b=
,
故椭圆方程为
,…(3分),
则直线l:x=-1,A(-2,0),B(2,0),
故C(-1,
,D(-1,-
)或C(-1,-
),D(-1,
),
当点C在x轴上方时,
,
,
所以k1:k2=3,
当点C在x轴下方时,同理可求得k1:k2=3,
综上,k1:k2=3为所求.…(6分)
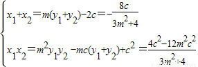
(2)解:因为
,所以a=2c,b=
,
椭圆方程为3x2+4y2=12c2,A(-2c,0),B(2c,0),直线l:x=my-c,
设C(x1,y1),D(x2,y2),
由
,消x得,(4+3m2)y2-6mxy-9c2=0,
所以
…(8分)
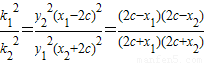
故
,①
由
,及
,…(9分)
得
=
,
将①代入上式得
=
,…(10分)
注意到y1y20,得
,…(11分)
所以k1:k2=3为所求.…(12分)
点评:本题主要考查直线与圆锥曲线的综合应用能力,具体涉及到轨迹方程的求法及直线与椭圆的相关知识,解题时要注意合理地进行等价转化.
故C(-1,
(2)因为
解答:解:(1)由题意椭圆的离心率
故椭圆方程为
则直线l:x=-1,A(-2,0),B(2,0),
故C(-1,
当点C在x轴上方时,
所以k1:k2=3,
当点C在x轴下方时,同理可求得k1:k2=3,
综上,k1:k2=3为所求.…(6分)
(2)解:因为
椭圆方程为3x2+4y2=12c2,A(-2c,0),B(2c,0),直线l:x=my-c,
设C(x1,y1),D(x2,y2),
由
所以
故
由
得
将①代入上式得
注意到y1y20,得
所以k1:k2=3为所求.…(12分)
点评:本题主要考查直线与圆锥曲线的综合应用能力,具体涉及到轨迹方程的求法及直线与椭圆的相关知识,解题时要注意合理地进行等价转化.
练习册系列答案
相关题目