搜索
题目内容
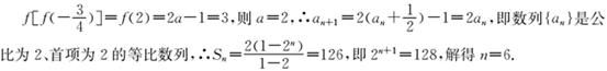
已知函数
且
,在各项为正的数列
中,
的前n项和为
,若
=
。
试题答案
相关练习册答案
6
解析
练习册系列答案
1加1阅读好卷系列答案
专项复习训练系列答案
初中语文教与学阅读系列答案
阅读快车系列答案
完形填空与阅读理解周秘计划系列答案
英语阅读理解150篇系列答案
奔腾英语系列答案
标准阅读系列答案
53English系列答案
考纲强化阅读系列答案
相关题目
已知函数
且
,在各项为正的数列
中,
的前n项和为
,若
=
。
已知函数
且
,在各项为正的数列{a
n
}中,
的前n项和为S
n
,若S
n
=126,则n=
.
已知函数
且
,在各项为正的数列{a
n
}中,
的前n项和为S
n
,若S
n
=126,则n=
.
已知函数
且
,在各项为正的数列{a
n
}中,
的前n项和为S
n
,若S
n
=126,则n=( )
已知函数
且
,在各项为正的数列
中,
的前n项和为
,若
=
。
关 闭
试题分类
高中
数学
英语
物理
化学
生物
地理
初中
数学
英语
物理
化学
生物
地理
小学
数学
英语
其他
阅读理解答案
已回答习题
未回答习题
题目汇总
试卷汇总
练习册解析答案