题目内容

设函数f(x)=lnx+ln(2-x)+ax(a>0),
(Ⅰ)当a=1时,求f(x)的单调区间;
(Ⅱ)若f(x)在(0,1]上的最大值为,求a的值。

解:函数f(x)的定义域为(0,2),
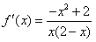
(Ⅰ)当a=1时,
所以f(x)的单调递增区间为(0,),单调递减区间为(,2);
(Ⅱ)当x∈(0,1]时,,即f(x)在(0,1]上单调递增,
故f(x)在(0,1]上的最大值为f(1)=a,因此

练习册系列答案
相关题目

违法和不良信息举报电话:027-86699610 举报邮箱:58377363@163.com

精英家教网