题目内容
已知函数(1)求M;
(2)当x∈M时,求函数f(x)=a•2x+2+3•4x(a<-3)的最小值.
【答案】分析:(1)利用被开方数非负,真数大于0,建立不等式组,即可求得函数的定义域;
(2)换元,利用配方法,结合函数的定义域,分类讨论,即可求得结论.
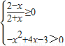
解答:解:(1)由题意,
,解得1≤x≤2,∴M=(1,2];
(2)令t=2x(t∈(2,4]),f(x)=g(t)=-4at+3t2=3(t+
)2-
1°-6<a<-3,即2<-
<4时,g(t)min=g(-
)=-
;
2°a≤-6,即-
≥4时,g(t)min=g(4)=48+16a
∴f(x)min=
.
点评:本题考查函数的定义域,考查函数的最值,考查配方法的运用,属于中档题.
(2)换元,利用配方法,结合函数的定义域,分类讨论,即可求得结论.
解答:解:(1)由题意,
(2)令t=2x(t∈(2,4]),f(x)=g(t)=-4at+3t2=3(t+
1°-6<a<-3,即2<-
2°a≤-6,即-
∴f(x)min=
点评:本题考查函数的定义域,考查函数的最值,考查配方法的运用,属于中档题.
练习册系列答案
相关题目