题目内容
在△ABC中,角A、B、C所对的边分别为a、b、c(其中a≤b≤c),设向量
=(cosB,sinB),
=(0,
),且向量
为单位向量,
(1)求∠B的大小;
(2)若b=
,a=1,求△ABC的面积。
(1)求∠B的大小;
(2)若b=
解:(1)
,
∴
,
又B为三角形的内角,
由
,故
。
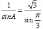
(2)根据正弦定理,知
,即
,
∴
,
又
,
∴
,
故C=
,
△ABC的面积=
。
∴
又B为三角形的内角,
由
(2)根据正弦定理,知
∴
又
∴
故C=
△ABC的面积=
练习册系列答案
相关题目
在△ABC中,角A、B、C所对的边分别为a,b,c,若b2+c2-a2=
bc,且b=
a,则下列关系一定不成立的是( )
| 3 |
| 3 |
| A、a=c |
| B、b=c |
| C、2a=c |
| D、a2+b2=c2 |