题目内容
已知数列{an}满足an•an-2=an-1(n>2,n∈N),且a1=2,a2=3,则a2013= .
【答案】分析:利用已知计算得出an+6=a1是解题的关键.
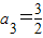
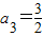
解答:解:∵数列{an}满足an•an-2=an-1(n>2,n∈N),且a1=2,a2=3,∴a3•a1=a2,解得
,
a4•a2=a3,解得a4=
,
a5•a3=a4,解得a5=
.
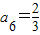
a6•a4=a5,解得
.
a7•a5=a6,解得a7=2.
….
∴an+6=a1.
∴a2013=a335×6+3=
.
故答案为
.
点评:利用已知得出其周期性是解题的关键.
解答:解:∵数列{an}满足an•an-2=an-1(n>2,n∈N),且a1=2,a2=3,∴a3•a1=a2,解得
a4•a2=a3,解得a4=
a5•a3=a4,解得a5=
a6•a4=a5,解得
a7•a5=a6,解得a7=2.
….
∴an+6=a1.
∴a2013=a335×6+3=
故答案为
点评:利用已知得出其周期性是解题的关键.
练习册系列答案
相关题目