题目内容
已知函数f(x)=ln(ax+1)+
+1,a>0。
(1)若函数f(x)的图象在点(1,f(1))处的切线平行于x轴,求实数a的值;
(2)若函数f(x)在区间[0,+∞)上的最小值为2,求实数a 的取值范围。
(1)若函数f(x)的图象在点(1,f(1))处的切线平行于x轴,求实数a的值;
(2)若函数f(x)在区间[0,+∞)上的最小值为2,求实数a 的取值范围。
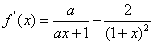
解:(1)
由已知
解得a=1。
(2)
∵x≥0,a>0,
∴ax+1>0
①a≥2时,在区间[0,+∞)上f'(x)≥0恒成立(仅a=2时f'(0)=0),
∴f(x)在区间[0,+∞)上单调递增,
此时f(x)min= f(0)=2,符合题意;
②0<a<2时,由f'(x)>0得
由f'(x)<0 得
∴f(x)在区间
上单调递减,在区间
上单调递增,
∴
,不符合题意
综上可知,若函数f(x)在区间[0,+∞)上的最小值为2,则a的取值范围是[2,+∞)。
由已知
解得a=1。
(2)
∵x≥0,a>0,
∴ax+1>0
①a≥2时,在区间[0,+∞)上f'(x)≥0恒成立(仅a=2时f'(0)=0),
∴f(x)在区间[0,+∞)上单调递增,
此时f(x)min= f(0)=2,符合题意;
②0<a<2时,由f'(x)>0得
由f'(x)<0 得
∴f(x)在区间
∴
综上可知,若函数f(x)在区间[0,+∞)上的最小值为2,则a的取值范围是[2,+∞)。
练习册系列答案
相关题目