题目内容
已知等差数列
满足
,
,则此数列的前
项的和
.
【答案】
.
【解析】
试题分析:法一:由于数列
是等差数列,
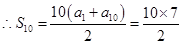
,![]()
;法二:设等差数列
的公差为
,则
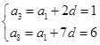
,解得
,![]()
.
考点:1.等差数列的基本性质;2.等差数列求和
练习册系列答案
相关题目
题目内容
已知等差数列
满足
,
,则此数列的前
项的和
.
.
【解析】
试题分析:法一:由于数列
是等差数列,
,![]()
;法二:设等差数列
的公差为
,则
,解得
,![]()
.
考点:1.等差数列的基本性质;2.等差数列求和