题目内容
已知数列{an}是公差为d(d≠0)的等差数列,Sn为其前n项和。
(1)若a2,a3,a6依次成等比数列,求其公比q;
(2)若
,求证:对任意的m,n∈N*,向量
与向量
共线;
(3)若
,问是否存在一个半径最小的圆,使得对任意的n∈N*,点Qn都在这个圆内或圆周上。
(1)若a2,a3,a6依次成等比数列,求其公比q;
(2)若
(3)若
解:(1)
所以,
,即
,
解得:
,∴
。
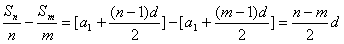
(2)因为
,
而
,
所以,
,

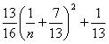
(3)因为
,
所以,
,
,


=
,
因为n≥1,所以
,
∴
,当n=1时取等号。
所以,
,即
,
所以存在半径最小的圆,最小半径为
,使得对任意的n∈N*,点
都在这个圆内或圆周上。
所以,
解得:
(2)因为
而
所以,
(3)因为
所以,
因为n≥1,所以
∴
所以,
所以存在半径最小的圆,最小半径为
练习册系列答案
相关题目