题目内容
已知数列{an}是公差为1的等差数列,{bn}是公比为2的等比数列,Sn,Tn分别是数列{an}和{bn}前n项和,且a6=b3,S10=T4+45①分别求{an},{bn}的通项公式.
②若Sn>b6,求n的范围.
③令cn=(an-2)bn,求数列{cn}的前n项和Rn.
【答案】分析:(1)利用等差数列、等比数列的通项公式及求和公式表示已知,联立方程可求a1,b1,即可求解
(2)先根据等差数列的求和公式及通项公式表示已知不等式中的项,然后解二次不等式即可求解
(3)利用错位相减法求解数列的和即可
解答:解:(1)由题意可得,
联立方程可得:a1=3,b1=2
∴an=n+2,
(2)∵an=n+2,
∴
,
∴
,
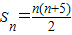
∴n≥10,n∈N*
3)∵cn=(an-2)bn=n•2n
∴
2Rn=1•22+2•23+…+(n-1)•2n+n•2n+1
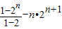
两式相减可得,-Rn=2+22+23+…+2n-n•2n+1
=2×
∴
点评:本题主要考查了等差数列、等比数列的通项公式及求和公式的应用,错位相减求和方法的应用是求解(3)的关键
(2)先根据等差数列的求和公式及通项公式表示已知不等式中的项,然后解二次不等式即可求解
(3)利用错位相减法求解数列的和即可
解答:解:(1)由题意可得,
联立方程可得:a1=3,b1=2
∴an=n+2,
(2)∵an=n+2,
∴
∴
∴n≥10,n∈N*
3)∵cn=(an-2)bn=n•2n
∴
2Rn=1•22+2•23+…+(n-1)•2n+n•2n+1
两式相减可得,-Rn=2+22+23+…+2n-n•2n+1
=2×
∴
点评:本题主要考查了等差数列、等比数列的通项公式及求和公式的应用,错位相减求和方法的应用是求解(3)的关键
练习册系列答案
相关题目