题目内容
(选做题)已知函数f(x)=log2(|x+1|+|x-2|-m),
(1)当m=5时,求函数f(x)的定义域;
(2)若关于x的不等式f(x)≥1的解集是R,求m的取值范围。
(1)当m=5时,求函数f(x)的定义域;
(2)若关于x的不等式f(x)≥1的解集是R,求m的取值范围。
解:(1)由题意
,
令
,
解得x>3或x<-2,
∴函数的定义域为{x|x>3或x<-2}。
(2)∵
,
∴
,
即
,
由题意,不等式
的解集是R,
则
在R上恒成立,
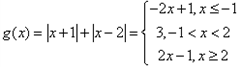
而
,
故m≤1。
令
解得x>3或x<-2,
∴函数的定义域为{x|x>3或x<-2}。
(2)∵
∴
即
由题意,不等式
则
而
故m≤1。
练习册系列答案
相关题目