题目内容
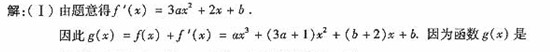
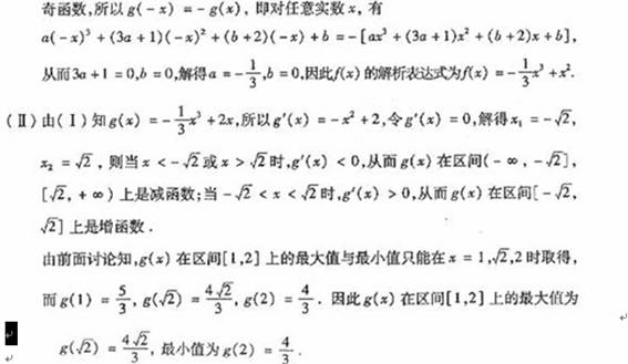
(本题满分16分)已知函数(其中常数a,b∈R),是奇函数.
(Ⅰ)求的表达式;
(Ⅱ)讨论的单调性,并求在区间[1,2]上的最大值和最小值.
解析:
(本题满分16分)已知函数,且对任意,有.(1)求;(2)已知在区间(0,1)上为单调函数,求实数的取值范围.(3)讨论函数的零点个数?(提示:)
(本题满分16分)已知函数为实常数).
(I)当时,求函数在上的最小值;
(Ⅱ)若方程在区间上有解,求实数的取值范围;
(Ⅲ)证明:
(参考数据:)
(本题满分16分) 已知椭圆:的离心率为,分别为椭圆的左、右焦点,若椭圆的焦距为2.
⑴求椭圆的方程;
⑵设为椭圆上任意一点,以为圆心,为半径作圆,当圆与椭圆的右准线有公共点时,求△面积的最大值.
(本题满分16分)已知函数是定义在上的偶函数,且当时,。
(Ⅰ)求及的值;
(Ⅱ)求函数在上的解析式;
(Ⅲ)若关于的方程有四个不同的实数解,求实数的取值范围。
本题满分16分)已知圆内接四边形ABCD的边长分别为AB = 2,BC = 6,CD = DA = 4 ;求四边形ABCD的面积.