题目内容
如图所示,四棱锥P-ABCD的底面ABCD是边长为1的菱形,∠BCD=60°,E是CD的中点,PA⊥底面ABCD,PA=2.![]()
(Ⅰ)证明:平面PBE⊥平面PAB;
(Ⅱ)求平面PAD和平面PBE所成二面角(锐角)的大小.
解 解法一(Ⅰ)如图所示,连结BD,由ABCD是菱形且∠BCD=60°知,△BCD是等边三角形.因为E是CD的中点,所以BE⊥CD,又AB∥CD,所以BE⊥AB.又因为PA⊥平面ABCD,
平面ABCD,所以PA⊥BE.而
AB=A,因此BE⊥平面PAB.
又
平面PBE,所以平面PBE⊥平面PAB.
![]()
(Ⅱ)延长AD、BE相交于点F,连结PF.过点A作AH⊥PB于H,由(Ⅰ)知平面PBE⊥平面PAB,所以AH⊥平面PBE.
在Rt△ABF中,因为∠BAF=60°,所以,
AF=2AB=2=AP.
在等腰Rt△PAF中,取PF的中点G,连结AG.
则AG⊥PF.连结HG,由三垂线定理的逆定理得,
PF⊥HG.
所以∠AGH是平面PAD和平面PBE所成二面角的平面角(锐角).
在等腰Rt△PAF中, ![]()
在Rt△PAB中, ![]()
所以,在Rt△AHG中, ![]()
故平面PAD和平面PBE所成二面角(锐角)的大小是![]()
解法二 如图所示,以A为原点,建立空间直角坐标系.则相关各点的坐标分别是A(0,0,0),B(1,0,0),
P(0,0,2),
E(1,![]()
![]()
(Ⅰ)因为
=(0,
,平面PAB的一个法向量是
,所以
和
共线.从而BE⊥平面PAB.
又因为
平面PBE,故平面PBE⊥平面PAB.
(Ⅱ)易知
![]()
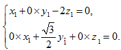
设
是平面PBE的一个法向量,则由
得
所以
故可取![]()
设
是平面PAD的一个法向量,则由
得
所以
故可取![]()
于是,![]()
故平面PAD和平面PBE所成二面角(锐角)的大小是![]()
练习册系列答案
相关题目