题目内容
在平面直角坐标系xOy中,点A(-1,-2)、B(2,3)、C(-2,-1).(1)求以线段AB、AC为邻边的平行四边形两条对角线的长;
(2)设实数t满足(
【答案】分析:(1)(方法一)由题设知
,则
.
从而得:
.
(方法二)设该平行四边形的第四个顶点为D,两条对角线的交点为E,则:
由E是AC,BD的中点,易得D(1,4)
从而得:BC=
、AD=
;
(2)由题设知:
=(-2,-1),
.
由(
)•
=0,得:(3+2t,5+t)•(-2,-1)=0,
从而得:
.
或者由
,
,得:
解答:解:(1)(方法一)由题设知
,则
.
所以
.
故所求的两条对角线的长分别为
、
.
(方法二)设该平行四边形的第四个顶点为D,两条对角线的交点为E,则:
E为B、C的中点,E(0,1)
又E(0,1)为A、D的中点,所以D(1,4)
故所求的两条对角线的长分别为BC=
、AD=
;
(2)由题设知:
=(-2,-1),
.
由(
)•
=0,得:(3+2t,5+t)•(-2,-1)=0,
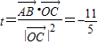
从而5t=-11,所以
.
或者:
,
,
点评:本题考查平面向量的几何意义、线性运算、数量积,考查向量的坐标运算和基本的求解能力.
从而得:
(方法二)设该平行四边形的第四个顶点为D,两条对角线的交点为E,则:
由E是AC,BD的中点,易得D(1,4)
从而得:BC=
(2)由题设知:
由(
从而得:
或者由
解答:解:(1)(方法一)由题设知
所以
故所求的两条对角线的长分别为
(方法二)设该平行四边形的第四个顶点为D,两条对角线的交点为E,则:
E为B、C的中点,E(0,1)
又E(0,1)为A、D的中点,所以D(1,4)
故所求的两条对角线的长分别为BC=
(2)由题设知:
由(
从而5t=-11,所以
或者:
点评:本题考查平面向量的几何意义、线性运算、数量积,考查向量的坐标运算和基本的求解能力.
练习册系列答案
相关题目