题目内容
在平面直角坐标系xOy中,已知点A(-1,0),B(1,0),动点C满足条件:△ABC的周长为(1)求W的方程;
(2)曲线W上是否存在这样的点P:它到直线x=-1的距离恰好等于它到点B的距离?若存在,求出点P的坐标;若不存在,请说明理由.
【答案】分析:(1)根据△ABC的周长为
,|AB|=2,利用椭圆的定义可得动点C的轨迹,从而可得W的方程;
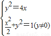
(2)假设存在点P满足题意,则点P为抛物线y2=4x与曲线W:
的交点,联立方程,求得交点即可.
解答:解:(1)设C(x,y),∵
,
∴
…(3分)
∴由椭圆的定义知,动点C的轨迹是以A、B为焦点,长轴长为
的椭圆(除去与x轴的两个交点).
∴
,∴b2=a2-c2=1…(5分)
∴W的方程:
…(6分)
(2)假设存在点P满足题意,则点P为抛物线y2=4x与曲线W:
的交点,
由
,消去y得:x2+8x-2=0…(9分)
解得
(舍去) …(11分)
由
代入抛物线的方程得
…(13分)
所以存在两个点
和
满足题意.…(14分)
点评:本题考查椭圆的定义,考查椭圆的标准方程,考查曲线的交点,考查学生的计算能力,属于中档题.
(2)假设存在点P满足题意,则点P为抛物线y2=4x与曲线W:
解答:解:(1)设C(x,y),∵
∴
∴由椭圆的定义知,动点C的轨迹是以A、B为焦点,长轴长为
∴
∴W的方程:
(2)假设存在点P满足题意,则点P为抛物线y2=4x与曲线W:
由
解得
由
所以存在两个点
点评:本题考查椭圆的定义,考查椭圆的标准方程,考查曲线的交点,考查学生的计算能力,属于中档题.
练习册系列答案
相关题目