题目内容
已知函数f(x)=ln(ax+b)-x,其中a>0,b>0。
(1)求函数在[0,+∞)是减函数的充要条件;
(2)求函数f(x)在[0,+∞)的最大值;
(3)解不等式ln(1+
)-
≤ln2-1。
(1)求函数在[0,+∞)是减函数的充要条件;
(2)求函数f(x)在[0,+∞)的最大值;
(3)解不等式ln(1+
解:(1)
因为
所以当
,
,即
当
时,因为
所以
即
故
在
是减函数的充要条件是
。
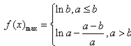
(2)由(1)知,当
时,
在
是减函数
此时
当
时,令
得
于是
在
上单增,在
上单减

综上可知
。
(3)在(1)中取
即
由(1)知f(x)在
是减函数
因为不等式
等价于
所以
解得
或
故原不等式的解集为:
或
。
因为
所以当
当
所以
即
故
(2)由(1)知,当
此时
当
于是
综上可知
(3)在(1)中取
由(1)知f(x)在
因为不等式
所以
解得
故原不等式的解集为:
练习册系列答案
相关题目