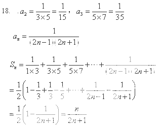
题目内容
已知 数列满足,且,
求的值
猜想的表达式并用数学归纳法证明
答案
已知,数列满足,数列满足;又知数列中,,且对任意正整数,.
(Ⅰ)求数列和数列的通项公式;
(Ⅱ)将数列中的第项,第项,第项,……,第项,……删去后,剩余的项按从小到大的顺序排成新数列,求数列的前项和.
(本题满分9分)已知等比数列满足,且是与的等差中项;
(Ⅰ)求数列的通项公式; (Ⅱ)若,,
求使不等式成立的 的最小值;
(本小题满分16分)
已知数列,,且满足().
(1)若,求数列的通项公式;
(2)若,且.记,求证:数列为常数列;
(3)若,且.若数列中必有某数重复出现无数次,求首项应满足的条件.
.已知等差数列满足,且数列是等比数列,若,则
A.2 B.4 C.8 D.16