搜索
题目内容
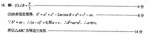
在△ABC中,三个内角A,B,C的对边分别为a,b,c,且A,B,C成等差数列,a,b,c成等比数列.
(1)求∠B的值;
(2)求证△ABC为等边三角形.
试题答案
相关练习册答案
练习册系列答案
高效课堂系列寒假作业系列答案
寒假生活微指导系列答案
培优教育寒假作业武汉大学出版社系列答案
寒假作业西安出版社系列答案
金版新学案寒假作业必刷题系列答案
金牛系列假期作业寒系列答案
经纶学典寒假总动员系列答案
快乐寒假学段衔接提升方案系列答案
黎明文化寒假作业系列答案
天源书业高中假期生活寒系列答案
相关题目
8、对于直角坐标平面内的任意两点A(x
1
,y
1
),B(x
2
,y
2
),定义它们之间的一种“距离”:||AB||=|x
2
-x
1
|+|y
2
-y
1
|.给出下列三个命题:
①若点C在线段AB上,则||AC||+||CB||=||AB||;
②在△ABC中,若∠C=90
o
,则||AC||
2
+||CB||
2
=||AB||
2
;
③在△ABC中,||AC||+||CB||>||AB||.
其中真命题的个数为( )
A、0
B、1
C、2
D、3
△ABC中,三个内角A、B、C所对的边分别为a、b、c,设复数z=sinA(sinA-sinC)+(sin
2
B-sin
2
C)i,且z在复平面内所对应的点在直线y=x上.
(1)求角B的大小;
(2)若sinB=cosAsinC,△ABC的外接圆的面积为4π,求△ABC的面积.
对于直角坐标平面内的任意两点A(x
1
,y
1
)、B(x
2
,y
2
),定义它们之间的一种“距离”:‖AB‖=|x
1
-x
2
|+|y
1
-y
2
|.给出下列三个命题:
①若点C在线段AB上,则‖AC‖+‖CB‖=‖AB‖;
②在△ABC中,若∠C=90°,则‖AC‖+‖CB‖=‖AB‖;
③在△ABC中,‖AC‖+‖CB‖>‖AB‖.
其中真命题的个数为( )
A.0
B.1
C.2
D.3
①“若x+y=0,则x,y互为相反数”的逆命题是“若x,y互为相反数,则x+y=0”.
②在平面内,F
1
、F
2
是定点,|F
1
F
2
|=6,动点M满足||MF
1
|-|MF
2
||=4,则点M的轨迹是双曲线.
③“在△ABC中,“∠B=60°”是“∠A,∠B,∠C三个角成等差数列”的充要条件.
④“若-3<m<5则方程
x
2
5-m
+
y
2
m+3
=1
是椭圆”.
⑤在四面体OABC中,
OA
=
a
,
OB
=
b
,
OC
=
c
,D为BC的中点,E为AD的中点,则
OE
=
1
2
a
+
1
4
b
+
1
4
c
⑥椭圆
x
2
25
+
y
2
9
=1
上一点P到一个焦点的距离为5,则P到另一个焦点的距离为5.
其中真命题的序号是:
①②③⑤⑥
①②③⑤⑥
.
△ABC中,三个内角A、B、C所对的边分别为a、b、c,设复数z=sinA(sinA-sinC)+(sin
2
B-sin
2
C)i,且z在复平面内所对应的点在直线y=x上.
(1)求角B的大小;
(2)若sinB=cosAsinC,△ABC的外接圆的面积为4π,求△ABC的面积.
关 闭
试题分类
高中
数学
英语
物理
化学
生物
地理
初中
数学
英语
物理
化学
生物
地理
小学
数学
英语
其他
阅读理解答案
已回答习题
未回答习题
题目汇总
试卷汇总
练习册解析答案