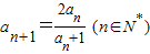
题目内容
已知数列{an}满足:(1)求a2,a3的值;
(2)证明:不等式0<an<an+1对于任意的n∈N*都成立.
【答案】分析:(1)利用
,
,将n=1,2代入计算,即可求a2,a3的值;
(2)对
两边取倒数,可得{
}是以1为首项,
为公比的等比数列,即可确定数列的通项,从而可证结论.
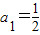
解答:(1)解:∵
,
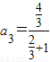
∴
=
,
=
(2)证明:因为
,
,所以
.
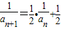
于是在
两边取倒数得
,
整理得
,而
,
所以{
}是以1为首项,
为公比的等比数列,
所以
,所以
,
所以
,
故不等式0<an<an+1对于任意n∈N*都成立.
点评:本题考查数列的通项,考查不等式的证明,两边取倒数,证明数列是等比数列是关键.
(2)对
解答:(1)解:∵
∴
(2)证明:因为
于是在
整理得
所以{
所以
所以
故不等式0<an<an+1对于任意n∈N*都成立.
点评:本题考查数列的通项,考查不等式的证明,两边取倒数,证明数列是等比数列是关键.
练习册系列答案
相关题目