题目内容
已知奇函数f(x)在x≥0时的图象是如图所示的抛物线的一部分,(1)请补全函数f(x)的图象
(2)求函数f(x)的表达式,
(3)写出函数f(x)的单调区间.
【答案】分析:(1)根据奇函数图象的特点,奇函数图象关于原点对称,补全函数f(x)的图象;
(2)当x大于0时,根据图象找出抛物线的顶点坐标,设出抛物线的顶点式,又根据抛物线过原点,把原点坐标代入即可确定出抛物线的解析式;当x小于0时,-x大于0,代入所求的抛物线解析式中,化简可得x小于0时的解析式,综上,得到f(x)的分段函数解析式;
(3)根据图象及二次函数的对称轴,即可写出f(x)的递增区间及递减区间.
解答:解:(1)根据奇函数图象的特点,画出图形,如图所示:

(2)当x≥0时,设f(x)=a(x-1)2-2,又f(0)=0,得a=2,即f(x)=2(x-1)2-2;
当x<0时,-x>0,则f(x)=-f(-x)=-[2(-x-1)2-2]=-2(x+1)2+2,
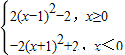
所以f(x)=
;(10分)
(3)根据函数图象可知:
函数f(x)的单调递增区间是:(-∞,-1]或[1,+∞);
函数f(x)的单调递减区间是:[-1,1].(12分)
点评:此题考查了奇偶函数的对称性,函数的单调性及单调区间,以及二次函数的图象与性质.要求学生掌握奇偶函数的性质及二次函数的性质,掌握二次函数解析式的确定方法,运用数形结合的思想解决数学问题.
(2)当x大于0时,根据图象找出抛物线的顶点坐标,设出抛物线的顶点式,又根据抛物线过原点,把原点坐标代入即可确定出抛物线的解析式;当x小于0时,-x大于0,代入所求的抛物线解析式中,化简可得x小于0时的解析式,综上,得到f(x)的分段函数解析式;
(3)根据图象及二次函数的对称轴,即可写出f(x)的递增区间及递减区间.
解答:解:(1)根据奇函数图象的特点,画出图形,如图所示:
(2)当x≥0时,设f(x)=a(x-1)2-2,又f(0)=0,得a=2,即f(x)=2(x-1)2-2;
当x<0时,-x>0,则f(x)=-f(-x)=-[2(-x-1)2-2]=-2(x+1)2+2,
所以f(x)=
(3)根据函数图象可知:
函数f(x)的单调递增区间是:(-∞,-1]或[1,+∞);
函数f(x)的单调递减区间是:[-1,1].(12分)
点评:此题考查了奇偶函数的对称性,函数的单调性及单调区间,以及二次函数的图象与性质.要求学生掌握奇偶函数的性质及二次函数的性质,掌握二次函数解析式的确定方法,运用数形结合的思想解决数学问题.
练习册系列答案
相关题目
已知奇函数f(x)在[-1,0]上单调递减,又α,β为锐角三角形的两内角,则有( )
| A、f(sinα-sinβ)≥f(cosα-cosβ) | B、f(sinα-cosβ)>f(cosα-sinβ) | C、f(sinα-cosβ)≥f(cosα-sinβ) | D、f(sinα-cosβ)<f(cosα-sinβ) |