题目内容
已知函数f(x)=(1)求函数f(x)的表达式;
(2)若数列{an}满足a1=
(ⅰ)试求a2,a3,a4,并由此猜想数列{an}的通项公式an;
(ⅱ)用数学归纳法加证明你的猜想.
【答案】分析:(1)利用函数f(x)=
,满足f(1)=1,可得a=2b+1;根据f(x)=2x只有一解,可得4(1+b)2-4×2a×0=0,由此可得函数解析式;
(2)(ⅰ)利用a1=
,an+1=f(an),代入计算,可求a2,a3,a4,从而猜想数列{an}的通项公式an;
(ⅱ)利用数学归纳法证明步骤,证明即可.
解答:解:(1)∵函数f(x)=
,满足f(1)=1,
∴a=2b+1
∵f(x)=2x只有一解,∴
只有一解,
即2ax2-2(1+b)x=0(a≠0)
∴4(1+b)2-4×2a×0=0
∴b=-1,∴a=-1
∴f(x)=
;
(2)(ⅰ)∵a1=
,an+1=f(an),
∴a2=f(a1)=
,a3=f(a2)=
,a4=f(a3)=
,
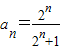
猜想
;
(ⅱ)用数学归纳法证明如下:
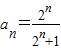
①n=1时,左边=a1=
,右边=
,∴猜想成立;
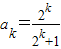
②假设n=k时,结论成立,即
,
则n=k+1时,ak+1=f(ak)=
=
,
即n=k+1时,结论成立
由①②可知
.
点评:本题考查函数解析式的确定,考查数列的通项的猜想与证明,考查学生分析解决问题的能力,属于中档题.
(2)(ⅰ)利用a1=
(ⅱ)利用数学归纳法证明步骤,证明即可.
解答:解:(1)∵函数f(x)=
∴a=2b+1
∵f(x)=2x只有一解,∴
即2ax2-2(1+b)x=0(a≠0)
∴4(1+b)2-4×2a×0=0
∴b=-1,∴a=-1
∴f(x)=
(2)(ⅰ)∵a1=
∴a2=f(a1)=
猜想
(ⅱ)用数学归纳法证明如下:
①n=1时,左边=a1=
②假设n=k时,结论成立,即
则n=k+1时,ak+1=f(ak)=
即n=k+1时,结论成立
由①②可知
点评:本题考查函数解析式的确定,考查数列的通项的猜想与证明,考查学生分析解决问题的能力,属于中档题.
练习册系列答案
相关题目
已知函数f(x)=x2-bx的图象在点A(1,f(1))处的切线l与直线3x-y+2=0平行,若数列{
}的前n项和为Sn,则S2010的值为( )
| 1 |
| f(n) |
A、
| ||
B、
| ||
C、
| ||
D、
|