题目内容
已知数列{an}是首项为1,公差为2的等差数列,又数列{bn}的前n项和Sn=nan.(Ⅰ)求数列{bn}的通项公式;
(Ⅱ)若
【答案】分析:(Ⅰ)由数列{an}是首项为1,公差为2的等差数列,知an=2n-1,由数列{bn}的前n项和Sn=nan,知
.由此能求出数列{bn}的通项公式.
(Ⅱ)由bn=4n-3,an=2n-1,知
=
,由此利用裂项求和法能求出数列{cn}的前n项和Tn.
解答:解:(Ⅰ)∵数列{an}是首项为1,公差为2的等差数列,
∵an=1+2(n-1)=2n-1,
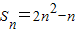
∵数列{bn}的前n项和Sn=nan,
∴
.
当n≥2时,bn=Sn-Sn-1=4n-3,
∵b1=S1=2-1=1符合上式,
∴bn=4n-3,n∈N*.
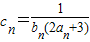
(Ⅱ)∵bn=4n-3,an=2n-1,
∴
=
=
,
∴Tn=c1+c2+c3+…+cn
=
=
=
.
点评:本题考查数列的通项公式和前n项和的求法,解题时要认真审题,注意公式法和裂项求和法的合理运用.
(Ⅱ)由bn=4n-3,an=2n-1,知
解答:解:(Ⅰ)∵数列{an}是首项为1,公差为2的等差数列,
∵an=1+2(n-1)=2n-1,
∵数列{bn}的前n项和Sn=nan,
∴
当n≥2时,bn=Sn-Sn-1=4n-3,
∵b1=S1=2-1=1符合上式,
∴bn=4n-3,n∈N*.
(Ⅱ)∵bn=4n-3,an=2n-1,
∴
∴Tn=c1+c2+c3+…+cn
=
=
=
点评:本题考查数列的通项公式和前n项和的求法,解题时要认真审题,注意公式法和裂项求和法的合理运用.
练习册系列答案
相关题目