题目内容
在△ABC中,a,b,c分别是三内角A,B,C所对应的三边,已知b2+c2=a2+bc(1)求角A的大小;
(2)若
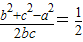
【答案】分析:(1)将b2+c2=a2+bc⇒b2+c2-a2=bc⇒
,由同性结合余弦定理知cosA=
,可求出A的大小;
(2)用半角公式对
进行变形,其可变为cosB+cosC=1,又由(1)的结论知,A=
,故B+C=
,与cosB+cosC=1联立可求得B,C的值,由角判断△ABC的形状.
解答:解:(1)在△ABC中,∵b2+c2=a2+bc,
∴b2+c2-a2=bc,
∴
,
∴cosA=
,
又A是三角形的内角,故A=
(2)∵
,
∴1-cosB+1-cosC=1∴cosB+cosC=1,
由(1)的结论知,A=
,故B+C=
∴cosB+cos(
-B)=1,
即cosB+cos
cosB+sin
sinB=1,
即
∴sin(B+
)=1,
又0<B<
,∴
<B+
<
∴B+
=
∴B=
,C=
故△ABC是等边三角形.
点评:本题考点是三角形中的余弦定理,考查余弦定理与三角恒等变换公式,是解三角形中综合性较强的一道题.
(2)用半角公式对
解答:解:(1)在△ABC中,∵b2+c2=a2+bc,
∴b2+c2-a2=bc,
∴
∴cosA=
又A是三角形的内角,故A=
(2)∵
∴1-cosB+1-cosC=1∴cosB+cosC=1,
由(1)的结论知,A=
∴cosB+cos(
即cosB+cos
即
∴sin(B+
又0<B<
∴B+
∴B=
故△ABC是等边三角形.
点评:本题考点是三角形中的余弦定理,考查余弦定理与三角恒等变换公式,是解三角形中综合性较强的一道题.
练习册系列答案
相关题目
在△ABC中,∠A、∠B、∠C所对的边长分别是a、b、c.满足2acosC+ccosA=b.则sinA+sinB的最大值是( )
A、
| ||||
| B、1 | ||||
C、
| ||||
D、
|