题目内容
已知数列{an}的前n项和为Sn,a1=1,Sn+1=4an+l,设bn=an+1-2an,
(Ⅰ)证明数列{bn}是等比数列;
(Ⅱ)数列{cn}满足
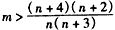
(n∈N*),设Tn=c1c2+c2c3+c3c4+...+cncn+1,若对一切n∈N*不等式4mTn>(n+2)cn恒成立,求实数m的取值范围.
(Ⅰ)证明数列{bn}是等比数列;
(Ⅱ)数列{cn}满足
(Ⅰ)证明:由于
, ①
当n≥2时,
, ②
①-②,得
,
所以,
,
又
,
所以,
,
因为
,且
,
所以,
,
所以,
,
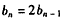
故数列{bn}是首项为2,公比为2的等比数列。
(Ⅱ)解:由(Ⅰ)可知,
,
则
,


,
由
,得
,
即
,
所以,
,
所以,
,
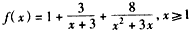
设
,
可知f(x)在[1,+∞)为减函数,
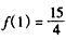
又
,
则当n∈N*时,有
,
所以,
,
故当
时,
恒成立。
当n≥2时,
①-②,得
所以,
又
所以,
因为
所以,
所以,
故数列{bn}是首项为2,公比为2的等比数列。
(Ⅱ)解:由(Ⅰ)可知,
则
由
即
所以,
所以,
设
可知f(x)在[1,+∞)为减函数,
又
则当n∈N*时,有
所以,
故当
练习册系列答案
相关题目
已知数列{an}的前n项和Sn=an2+bn(a、b∈R),且S25=100,则a12+a14等于( )
| A、16 | B、8 | C、4 | D、不确定 |