题目内容
已知椭圆C的中心在坐标原点,焦点在x轴上,它的一个顶点恰好是抛物线(1)求椭圆C的标准方程;
(2)过椭圆C的右焦点F作直线l交椭圆C于A、B两点,交y轴于M点,若
【答案】分析:(1)设出椭圆的方程,把抛物线方程整理成标准方程,求得焦点的坐标,进而求得椭圆的一个顶点,即b,利用离心率求得a和c关系进而求得a,则椭圆的方程可得.
(2)先根据椭圆的方程求得右焦点,设出A,B,M的坐标设出直线l的方程代入椭圆方程整理后利用韦达定理表示出x1+x2和x1x2,进而根据
,
,
和
利用题设条件求得λ1和λ2的表达式,进而求得λ1+λ2.
解答:解:(1)解:设椭圆C的方程为
(a>b>0),
抛物线方程化为x2=4y,其焦点为(0,1)
则椭圆C的一个顶点为(0,1),即b=1
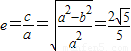
由
,∴a2=5,
所以椭圆C的标准方程为
(2)证明:易求出椭圆C的右焦点F(2,0),
设A(x1,y1),B(x2,y2),M(0,y),显然直线l的斜率存在,
设直线l的方程为y=k(x-2),代入方程
并整理,
得(1+5k2)x2-20k2x+20k2-5=0
∴
,
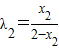
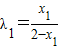
又,
,
,
,
,而
,
,
即(x1-0,y1-y)=λ1(2-x1,-y1),(x2-0,y2-y)=λ2(2-x2,-y2)
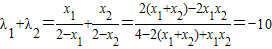
∴
,
,
所以
点评:本题主要考查了直线与圆锥曲线的综合问题.考查了学生综合分析问题的能力,知识的迁移能力以及运算能力.
(2)先根据椭圆的方程求得右焦点,设出A,B,M的坐标设出直线l的方程代入椭圆方程整理后利用韦达定理表示出x1+x2和x1x2,进而根据
解答:解:(1)解:设椭圆C的方程为
抛物线方程化为x2=4y,其焦点为(0,1)
则椭圆C的一个顶点为(0,1),即b=1
由
所以椭圆C的标准方程为
(2)证明:易求出椭圆C的右焦点F(2,0),
设A(x1,y1),B(x2,y2),M(0,y),显然直线l的斜率存在,
设直线l的方程为y=k(x-2),代入方程
得(1+5k2)x2-20k2x+20k2-5=0
∴
又,
即(x1-0,y1-y)=λ1(2-x1,-y1),(x2-0,y2-y)=λ2(2-x2,-y2)
∴
所以
点评:本题主要考查了直线与圆锥曲线的综合问题.考查了学生综合分析问题的能力,知识的迁移能力以及运算能力.
练习册系列答案
相关题目