题目内容
已知函数f(x)=λ•2x-4x的定义域为[0,1].(1)若函数f(x)在[0,1]上是单调递减函数,求实数λ的取值范围;
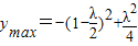
(2)若函数f(x)的最大值为
【答案】分析:(1)设2x=t,原题转化为y=-t2+λt在[1.2]是减函数,由此能求出实数λ的取值范围.
(2)设2x=t,原题转化为y=-t2+λt=-(t-
)2+
,t∈[1.2]最大值为
,求实数λ的值.对λ分类讨论,求出在区间[1,2]上的最大值,使其等于
,解出λ即可.
解答:解:(1)设2x=t,
∵函数f(x)=λ•2x-4x=-(2x)2+λ•2x定义域为[0,1],
∴2x∈[1,2],y=-t2+λt,t∈[1.2],
∵函数f(x)在[0,1]上是单调递减函数,
∴y=-t2+λt在[1.2]是减函数,
∴t=
≤1,解得λ≤2,
∴实数λ的取值范围是(-∞,2].
(2)∵函数f(x)=λ•2x-4x的定义域为[0,1],最大值为
,
由(1)知,y=-t2+λt=-(t-
)2+
,t∈[1.2],
∴对称轴方程为t=
,
①当
1时,y=-(t-
)2+
在[1.2]是减函数,
∴当t=1时,y取最大值
=
,解得
.
②当1
2时,当t=
时,y取最大值ymax=-(
)2+
=
,解得
,(舍)
③当
时,当t=2时,y取最大值ymax=-(2-
)2+
=
,解得
.
综上所述,实数λ的值为
,或
.
点评:本题考查二次函数的单调性及二次函数在给定区间上的最值问题,考查分类讨论思想,解题时要注意换元法的合理运用.
(2)设2x=t,原题转化为y=-t2+λt=-(t-
解答:解:(1)设2x=t,
∵函数f(x)=λ•2x-4x=-(2x)2+λ•2x定义域为[0,1],
∴2x∈[1,2],y=-t2+λt,t∈[1.2],
∵函数f(x)在[0,1]上是单调递减函数,
∴y=-t2+λt在[1.2]是减函数,
∴t=
∴实数λ的取值范围是(-∞,2].
(2)∵函数f(x)=λ•2x-4x的定义域为[0,1],最大值为
由(1)知,y=-t2+λt=-(t-
∴对称轴方程为t=
①当
∴当t=1时,y取最大值
②当1
③当
综上所述,实数λ的值为
点评:本题考查二次函数的单调性及二次函数在给定区间上的最值问题,考查分类讨论思想,解题时要注意换元法的合理运用.
练习册系列答案
相关题目
已知函数f(x)=x2-bx的图象在点A(1,f(1))处的切线l与直线3x-y+2=0平行,若数列{
}的前n项和为Sn,则S2010的值为( )
| 1 |
| f(n) |
A、
| ||
B、
| ||
C、
| ||
D、
|