题目内容
一个几何体的三视图如图所示,俯视图是边长为2的正方形,正视图与侧视图是全等的等腰直角三角形,则此几何体的侧棱长等于 .
【答案】分析:三视图复原的几何体是四棱锥,根据俯视图是边长为2的正方形,正视图与侧视图是全等的等腰直角三角形,可求出底面棱长及棱锥的高,利用勾股定理可得此几何体的侧棱长.
解答:解:由已知中的三视图复原几何体是底面是边长为2的正方形,
高为1的正四棱锥
则底面对角线长为2
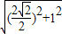
则棱锥的侧棱长为
=
故答案为:
点评:本题考查的知识点是由三视图还原实物图,其中根据已知条件分析出几何体的形状及棱锥的底面棱长及高是解答的关键.
解答:解:由已知中的三视图复原几何体是底面是边长为2的正方形,
高为1的正四棱锥
则底面对角线长为2
则棱锥的侧棱长为
故答案为:
点评:本题考查的知识点是由三视图还原实物图,其中根据已知条件分析出几何体的形状及棱锥的底面棱长及高是解答的关键.
练习册系列答案
相关题目